Toggle navigation
圣歌sing-e
主页
歌谱
歌唱
其它
神爱世人
甚至将他的独生子赐给他们,叫一切信他的,不至灭亡,反得永生。—约翰福音3:16
歌谱
目录
主题
搜索
目录:shipian42-127/psalms110-3.gif   主题:诗篇42-127/诗篇110-3.gif
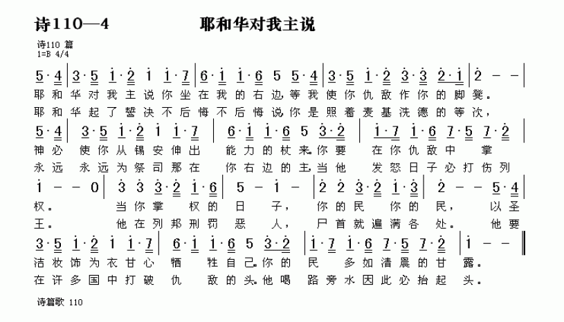
目录:shipian42-127/psalms110-4.gif   主题:诗篇42-127/诗篇110-4.gif
目录:shipian42-127/psalms111-1.gif   主题:诗篇42-127/诗篇111-1.gif
目录:shipian42-127/psalms111-2.gif   主题:诗篇42-127/诗篇111-2.gif
«
‹
562
563
564
565
566
567
568
›
»